新闻中心

EEPW首页 > 测试测量 > 设计应用 > 利用ATE(自动测试设备)测试电源负载的数字可编程精密电阻

利用ATE(自动测试设备)测试电源负载的数字可编程精密电阻

作者: 时间:2018-09-11 来源:网络 收藏
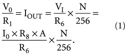
图1所示的数字可编程精密电阻可在定制设计的 )中用作微处理器驱动的电源负载。IC1 是一个 8 位 电流输出型 DAC,即DAC08型DAC ,它驱动电流-电压变换器 IC2A,IC2A又驱动功率 MOSFET Q1 的栅极。被测器件连接到 J1 和 J2。在工作时,来自被测器件的电流在采样电阻 R8A 和 R8B 上形成一个电压。放大器 IC2B 驱动 IC1 的基准输入端,并使反馈路径闭合。当 R8A 和 R8B 上的压降达到 Q2 的 VBE(ON) 时,晶体管 Q2 分流 Q1 的栅极驱动电流,提供过流保护功能。VO 和 IO 分别为输出电压和输出电流,N 代表加到 IC1 的二进制输入的等效十进制值,A 是放大级 IC2B 的增益。R1由 R1A 和 R1B 并联组成。公式 1 描述了电路的负载电流:

本文引用地址://www.cghlg.com/article/201809/388852.htm
求方程 2 的解就可得到电路的输出电阻:



采用图中所示元件参数值,电路的等效电阻范围从全“0”二进制输入(即 N=0)的 5.5Ω左右至全“ 1” 二进制输入(即 N =255)的255Ω。
  
你可以修改电路的元件参数值来覆盖其它电阻范围。将 8 位 DAC08 换成 10 位 D/A 转换器可提高电阻精度。为了加大电路的功率承受能力,可用更大功率的 MOSFET和一个合适尺寸的散热器替换 Q1。电容器C3 和 C4 控制电路的带宽。




评论


相关推荐

技术专区

关闭